η βιβλιοθήκη του Τμήματος Αρρυθμιών

Στην ενότητα «Βιβλιοθήκη» (ακολουθώντας τον σύνδεσμο πάνω δεξιά), θα βρείτε τα εξής πρωτότυπα εγχειρίδια:

CoverV
cover - αιφνίδιος
cover - wpw

Χωρίς εξώφυλλο είναι μερικά μικρότερα κείμενα, καθώς και κεφάλαια σε βιβλία:

  • Ταχυκαρδίες Επανεισόδου στον Κολποκοιλιακό Κόμβο (AVNRT)
  • Διαγνωστική Ηλεκτροφυσιολογική Μελέτη
  • Διαταραχές της Κολποκοιλιακής Αγωγής

CMR (μαγνητική τομογραφία καρδιάς) σε ασθενείς που έχουν συσκευές διαχείρισης ρυθμού

Με δυό λόγια, ξεκινώντας από το συμπέρασμα:

  • είναι μια μεγάλης πολυπλοκότητας, ακριβή εξέταση
  • σε όλες τις περιπτώσεις είναι σπουδαία, αλλά μερικές φορές έχει κρίσιμη σημασία στη λήψη κλινικών αποφάσεων
  • συνήθως είναι ασφαλής, αλλά όχι πάντοτε
  • η επιμελής προτετοιμασία για την εξέταση είναι κάτι που χρωστάμε στους ασθενείς

Αν θέλετε, ένας πρακτικός οδηγός (που περιέχει μια σύντομη φόρμα για κλινικούς ιατρούς) είναι διαθέσιμος εδώ (σε μορφή pdf).

Από κάθε σκοπιά, είναι απαραίτητη η καλή τεκμηρίωση. Εδώ απαιτείται καλή τεκμηρίωση τόσο για το εμφυτευμένο σύστημα (που μπορεί να είναι «MRI-conditional», «MRI-safe», πρόσφατο, παλιό), αλλά και -το κυριότερο- του κλινικού υποστρώματος που μας οδήγησε στην εξέταση.

Για παράδειγμα, είναι διαφορετική η περίπτωση νέων ασθενών με προφυλακτικές ενδείξεις εμφύτευσης ICD, έναντι, ας πούμε, ενός ασθενούς χωρίς ενδογενή ρυθμό με εύκολα προκλητή κοιλιακή ταχυκαρδία.

Μην ξεχνάμε, άλλωστε, πως στο περιβάλλον της εξέτασης οι θεραπείες έχουν απενεργοποιηθεί.

Δεν χρειάζεται να τονιστεί η διαφορά ασθενών με αυθόρμητη κοιλιακή ταχυκαρδία (που συνήθως είναι καλύτερα ανεκτή στην ύπτια θέση) και όσων έχουν κοιλιακή μαρμαρυγή. Άρα, δεν είναι αποδεκτό να γίνεται εξέταση όταν λείπουν βασικά κλινικά στοιχεία.

Με λίγο κόπο, οι πληροφορίες μπορούν να συγκεντρωθούν σε όλες τις περιπτώσεις.

Αρρυθμίες στη μονάδα εντατικής θεραπείας

Στο περιβάλλον της μονάδας εντατικής θεραπείας, τα καθεαυτό αρρυθμικά συμβάματα αντιπροσωπεύουν μια μειοψηφία. Οι διαταραχές ρυθμού που θα συναντήσουμε εδώ, κατά κανόνα συνοδεύουν πολύπλοκα, ―και συνήθως βαριά― κλινικά σύνδρομα: βραδυκαρδία από την υπερκαλιαιμία της νεφρικής ανεπάρκειας, προαρρυθμία ή τοξικότητα από φάρμακα, τις μεταβολικές διαταραχές της σήψης, αλλά και ταχυαρρυθμίες που θα ήταν καλά ανεκτές αν προέκυπταν μόνες τους, αλλά να έχουν απειλητικές για τη ζωή αιμοδυναμικές επιπτώσεις σε συνολικά επιβαρυμένους  ασθενείς.

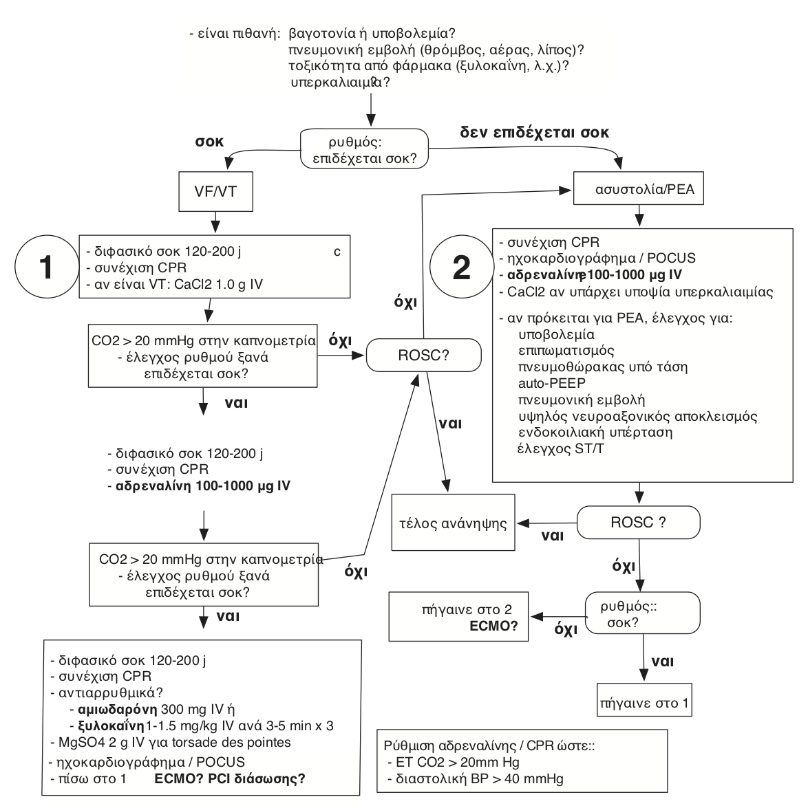
Άν θέλετε, κατεβάστε ένα μάλλον γενικόλογο κείμενο, που όμως περιέχει χρήσιμους θεραπευτικούς αλγόριθμους (από τη σύγχρονη βιβλιογραφία): κλικ εδώ.

Πίνακας 1. Καρδιοαναπνευστική αναζωογόνηση στο περιβάλλον της χειρουργικής αίθουσας (ελαφρά τροποποιημένο από: Moitra VK, Einav S, Thies KC et al. Cardiac Arrest in the Operating Room: Resuscitation and Management for the Anesthesiologist: Part 1. Anesth Analg. 2018;126:876-888.) CPR καρδιοαναπνευστική αναζωογόνηση, ROSC επαναφορά αυθόρμητης κυκλοφορίας

Η σύγκλειση του ωτίου (LAA closure)

Ακόμα και στις μέρες μας, είναι μάλλον δύσκολο να εντοπίσουμε τους ασθενείς που θα ωφεληθούν, και είναι μεγάλη συζήτηση πότε/σε ποιούς πρέπει να γίνεται. Προσωπικά πιστεύω πως έχει ρόλο σε λίγες, καλά επιλεγμένες περιπτώσεις. Τότε, όμως, αντιπροσωπεύει μια σπουδαία παρέμβαση.

Όταν, λοιπόν, αποφασίζουμε να προχωρήσουμε, το αποτέλεσμα πρέπει να είναι κάπως έτσι:


 

Και στις MPR τομές, να μη φαίνεται σκιαγράφηση του σώματος του ωτίου — ακόμα και ένα μικρό peri-device leak (PDL) θα τo «ασπρίσει» –, ούτε βέβαια θρόμβος (device-related thrombosis, DRT).

Για σύγκριση, οι εικόνες CTA\ECG πριν την τοποθέτηση της συσκευής:

 

Και στο ηλεκτροφυσιολογικό εργαστήριο:

 

 

<στην επόμενη καταχώρηση, θα δείτε και τις εικόνες TEE>

Ονλάϊν εκπαίδευση στη CRT (και ο ρόλος του διαδίκτυου)

Σε πρώτη ματιά, δεν θα δίναμε μεγάλη σημασία σε υλικό από το διαδίκτυο: είναι ευτελούς αξίας, θα λέγαμε.

Και όμως! Κάθε χρόνος που περνάει, δείχνει πως ο ρόλος του διαδίκτυου και των social media (#SoMe) είναι πραγματικά σπουδαίος. Δεν είναι υπερβολή να πούμε πως απέκτησε «ακαδημαϊκό» χαρακτήρα. Αν, μάλιστα, δεν σας ενοχλεί μια συμβουλή από έναν αρχάριο όπως εγώ, γραφτείτε στο τουίτερ.

Και αν έχετε ενδιαφέρον για την ηλεκτροφυσιολογία -και, ειδικότερα, την αμφικοιλιακή βηματοδότηση-, ένας καλός πρώτος σταθμός είναι η παρουσία του Seth Worley στο Youtube (κανάλι BIVTIPS), και το Twitter.

Ομιλία: «Αναιμία στην Καρδιακή Ανεπάρκεια», κ. Η. Ευμορφιάδης

Ο κύριος Ηλίας Ευμορφιάδης αναλύει το πρόβλημα της (σιδηροπενικής, κατά κύριο λόγο) αναιμίας στην καρδιακή ανεπάρκεια. Μια μαγνητοφωνημένη ομιλία, από τη μηνιαία συνάντηση του τμήματος.

(25 min)

ΝευροΚαρδιοΘρόμβωση: μια γυναίκα με κολπική μαρμαρυγή, βατό ωοειδές τρήμα και αγγειακό εγκεφαλικό επεισόδιο

Η πρώτη παρουσίαση της «ΝευροΚαρδιοΘρόμβωσης». Στην ουσία πρόκειται για μια εστιασμένη παρουσίαση ενός κλινικού προβλήματος, με στόχο τη λήψη αποφάσεων.

Αν θέλετε, σκεφτείτε το σαν συζήτηση στην πτέρυγα νοσηλείας, μεταξύ νευρολόγων, καρδιολόγων και αιματολόγων. Σε αυτές τις -καθημερινές- περιστάσεις, σπουδαίο είναι να ανταλλάξουμε γνώμες και εμπειρία, για άμεση εφαρμογή στην πράξη.

Διάρκεια: 23 min, με (σχεδόν) πλήρως πρωτότυπο περιεχόμενο