Στο περιβάλλον της μονάδας εντατικής θεραπείας, τα καθεαυτό αρρυθμικά συμβάματα αντιπροσωπεύουν μια μειοψηφία. Οι διαταραχές ρυθμού που θα συναντήσουμε εδώ, κατά κανόνα συνοδεύουν πολύπλοκα, ―και συνήθως βαριά― κλινικά σύνδρομα: βραδυκαρδία από την υπερκαλιαιμία της νεφρικής ανεπάρκειας, προαρρυθμία ή τοξικότητα από φάρμακα, τις μεταβολικές διαταραχές της σήψης, αλλά και ταχυαρρυθμίες που θα ήταν καλά ανεκτές αν προέκυπταν μόνες τους, αλλά να έχουν απειλητικές για τη ζωή αιμοδυναμικές επιπτώσεις σε συνολικά επιβαρυμένους ασθενείς.
Άν θέλετε, κατεβάστε ένα μάλλον γενικόλογο κείμενο, που όμως περιέχει χρήσιμους θεραπευτικούς αλγόριθμους (από τη σύγχρονη βιβλιογραφία): κλικ εδώ.
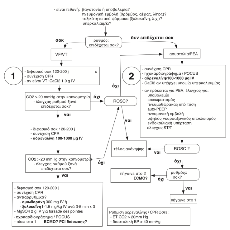
Πίνακας 1. Καρδιοαναπνευστική αναζωογόνηση στο περιβάλλον της χειρουργικής αίθουσας (ελαφρά τροποποιημένο από: Moitra VK, Einav S, Thies KC et al. Cardiac Arrest in the Operating Room: Resuscitation and Management for the Anesthesiologist: Part 1. Anesth Analg. 2018;126:876-888.) CPR καρδιοαναπνευστική αναζωογόνηση, ROSC επαναφορά αυθόρμητης κυκλοφορίας
